Tư vấn, khuyến nghị sản phẩm và hỗ trợ khách hàng mua sắm trực tuyến trong thương mại điện tử rất quan trọng bởi nó ảnh hưởng trực tiếp tới doanh thu và lợi nhuận của các doanh nghiệp. Nhận thức được điều này, một số doanh nghiệp thương mại điện tử lớn trên thế giới như: Amazon, Ebay, Netflix...đã nghiên cứu tích hợp công cụ khuyến nghị sản phẩm vào website bán hàng của mình và đạt được kết quả kinh doanh rất tốt. Tuy nhiên tại ở Việt Nam, các doanh nghiệp thương mại điện tử hầu như chưa phát triển công cụ này; nếu có thì những sản phẩm khuyến nghị, gợi ý cho khách hàng trên các website thương mại điện tử cũng khá sơ sài. Trong bài này, tác giả đề xuất một số mô hình sử dụng trong xây dựng công cụ khuyến nghị sản phẩm cho các website thương mại điện tử tại Việt Nam.
Tư vấn, khuyến nghị sản phẩm và hỗ trợ khách hàng mua sắm trực tuyến trong thương mại điện tử rất quan trọng bởi nó ảnh hưởng trực tiếp tới doanh thu và lợi nhuận của các doanh nghiệp. Nhận thức được điều này, một số doanh nghiệp thương mại điện tử lớn trên thế giới như: Amazon, Ebay, Netflix...đã nghiên cứu tích hợp công cụ khuyến nghị sản phẩm vào website bán hàng của mình và đạt được kết quả kinh doanh rất tốt. Tuy nhiên tại ở Việt Nam, các doanh nghiệp thương mại điện tử hầu như chưa phát triển công cụ này; nếu có thì những sản phẩm khuyến nghị, gợi ý cho khách hàng trên các website thương mại điện tử cũng khá sơ sài. Trong bài này, tác giả đề xuất một số mô hình sử dụng trong xây dựng công cụ khuyến nghị sản phẩm cho các website thương mại điện tử tại Việt Nam.
1. Giới thiệu
Trong hệ thống mua sắm trực tuyến thương mại điện tử, nhằm tăng doanh thu và đáp ứng nhu cầu tìm kiếm cũng như sở thích và thói quen mua sắm của khách hàng, các doanh nghiệp đã nghiên cứu phát triển và tích hợp công cụ khuyến nghị sản phẩm vào website thương mại điện tử của mình. Công cụ này được xây dựng dựa trên cơ sở thu thập và phân tích những thông tin về các sản phẩm, khách hàng trong hệ thống để dự đoán mức độ quan tâm của khách hàng tới từng sản phẩm và gợi ý cho khách hàng mua những sản phẩm đó.
Một hệ thống khuyến nghị sản phẩm được xây dựng dựa trên các kỹ thuật sau:
- Khuyến nghị dựa trên nội dung (Content–based): khuyến nghị cho khách hàng những sản phẩm tương tự với những sản phẩm mà khách hàng đó đã mua hoặc đã quan tâm.
- Khuyến nghị dựa trên lọc cộng tác (Collaboractive Filtering - CF): khuyến nghị những sản phẩm mà những khách hàng tương tự khác cũng quan tâm hoặc đã mua.
- Lai hóa giữa hai phương thức trên.
Trong nghiên cứu này, tác giả tập trung nghiên cứu công cụ khuyến nghị sản phẩm được xây dựng trên cơ sở kỹ thuật lọc cộng tác bởi kỹ thuật này được các nhà nghiên cứu và phát triển đánh giá là thành công và hiệu quả nhất trong các kỹ thuật được sử dụng để xây dựng công cụ khuyến nghị sản phẩm.
2. Kỹ thuật lọc cộng tác sử dụng trong xây dựng công cụ khuyến nghị sản phẩm
Kỹ thuật lọc cộng tác được sử dụng trong hệ thống khuyến nghị sản phẩm là kỹ thuật phân tích cơ sở dữ liệu về sở thích, mức độ quan tâm của các khách hàng về các sản phẩm để dự đoán mức độ quan tâm về các sản phẩm của một khách hàng mới và đưa ra gợi ý mua sản phẩm cho khách hàng đó. Trong kỹ thuật này, người ta xây dựng một danh sách các khách hàng {U1, U2,...,Um}, danh sách các sản phẩm {I1, I2,...,In} và mỗi khách hàng có một bản ghi dữ liệu đánh giá các sản phẩm mà họ đã từng mua, từng quan tâm; dữ liệu này được thu thập thông qua các hành vi của họ (VD: mua hàng, ghé thăm, bình chọn,...) trên hệ thống mua sắm trực tuyến.
Kỹ thuật lọc cộng tác được sử dụng ở đây chia ra làm hai loại chính: lọc cộng tác trên cơ sở lưu trữ bộ nhớ (Memory-based Collaboractive Filtering) và lọc cộng tác trên cơ sở xây dựng mô hình (Model-based Collaboractive Filtering).
2.1. Memory-based CF
Lọc cộng tác trên cơ sở lưu trữ bộ nhớ (Memory-based CF) sử dụng trong xây dựng công cụ khuyến nghị sản phẩm hoạt động theo nguyên lý sau:
- Các sản phẩm tương tự sẽ được khuyến nghị tới khách hàng: hệ thống sẽ tìm kiếm những sản phẩm tương tự như sản phẩm mà khách đã mua hoặc quan tâm, yêu thích để khuyến nghị, gợi ý cho khách hàng.
- Các khách hàng tương đồng sẽ được khuyến nghị những sản phẩm giống nhau: hệ thống sử dụng một phương pháp nào đó để “đo” độ tương đồng về sở thích mua sắm và quan tâm sản phẩm giữa các khách hàng; sau đó hệ thống sẽ sử dụng lịch sử mua hàng hoặc quan tâm các sản phẩm của khách hàng này để khuyến nghị cho các khách hàng tương tự.
2.2. Model-based CF
Lọc cộng tác trên cơ sở mô hình dự báo sử dụng trong xây dựng công cụ khuyến nghị sản phẩm hoạt động theo phương thức mô tả sở thích của khách hàng bằng các mô hình và sau đó sử dụng nó để dự đoán đánh giá của một khách hàng về một sản phẩm nào đó. Căn cứ vào kết quả dự đoán, hệ thống sẽ thực hiện khuyến nghị sản phẩm cho khách hàng. Phương pháp này sử dụng các kỹ thuật trong lĩnh vực khai phá dữ liệu và học máy: thuật toán phân lớp, thuật toán phân cụm, luật kết hợp...để xây dựng các mô hình dự báo .
2.3. Một số đánh giá về hai phương pháp
Bảng 1: So sánh hai phương pháp trong kỹ thuật lọc cộng tác
Trên thực tế, người ta còn kết hợp cả hai phương pháp này để khai thác triệt để ưu điểm của mỗi phương pháp. Tuy nhiên kết hợp đó lại làm cho quá trình lưu trữ, xử lý thông tin thêm phức tạp và tốn kém chi phí.
Căn cứ đặc điểm mỗi phương pháp kể trên, trong phần tiếp theo tác giả đề xuất một số mô hình sử dụng để xây dựng công cụ khuyến nghị sản phẩm, mỗi một mô hình đại diện cho các kỹ thuật Model-based CF.
3. Một số mô hình sử dụng trong xây dựng công cụ khuyến nghị sản phẩm cho các website thương mại điện tử ở Việt Nam
3.1. Phát biểu bài toán
Như đã đề cập ở trên, muốn xây dựng công cụ khuyến nghị sản phẩm chúng ta cần phải thu thập, lưu trữ và phân tích xử lý bộ dữ liệu gồm các đánh giá, mức độ quan tâm hoặc lịch sử mua sắm của các khách hàng về các sản phẩm. Bộ dữ liệu này được biểu diễn dưới dạng bảng như sau:
Trong đó, các giá trị ở các ô là dữ liệu đánh giá, mức độ quan tâm hoặc lịch sử mua sắm của các khách hàng đối với các sản phẩm đã được chuyển đổi sang dạng dữ liệu số. Những khách hàng Ui chưa từng đánh giá, quan tâm hay mua sản phẩm Ij thì giá trị ô hàng i, cột j bỏ trống và nhiệm vụ của hệ thống là phải dự báo được chỉ số ở những ô này.
Các chỉ số ở bảng trên có thể thu được ở dạng “rời rạc” - catagorical (VD: , , ,...) hoặc ở dạng “liên tục” - numerical (VD: thang điểm đánh giá về sản phẩm từ 0-10 điểm). Đối với kiểu dữ liệu “rời rạc”, người ta sử dụng các thuật toán phân lớp, phân cụm để thực hiện việc tính toán dự báo chỉ số đánh giá của khách hàng Ui về một sản phẩm Ij nào đó; còn đối với kiểu dữ liệu “liên tục”, người ta sử dụng mô hình hồi quy. Nếu chỉ số được dự đoán là đủ lớn thì hệ thống khuyến nghị khách hàng Ui mua sản phẩm Ij. Nội dung tiếp theo, tác giả trình bày các thuật toán cụ thể để giải quyết bài toán nêu trên.
3.2. Thuật toán phân lớp Bayesian trong công cụ khuyến nghị sản phẩm
Kỹ thuật Model – based CF trên cơ sở thuật toán phân lớp Bayesian dùng để tính toán dự báo cho chỉ số đánh giá của khách hàng Ui đối với sản phẩm Ij. Thuật toán này tính các xác suất có điều kiện và dựa trên kết quả tính toán để phân lớp cho dữ liệu .
Trong đó: (Xk = xk,Y = classt) là số sản phẩm được khách hàng Uk đánh giá là xk còn khách hàng Ui đánh giá là classt; (Y = classt) là số sản phẩm được khách hàng Ui đánh giá là classt; |Xi| là giá trị chỉ số lớn nhất mà khách hàng có thể đánh giá.
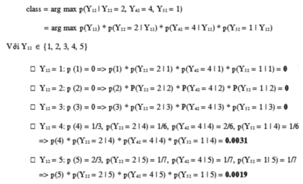
Như vậy, muốn xác định được chỉ số đánh giá của khách hàng Ui đối với sản phẩm Ij chúng ta cần căn cứ vào dữ liệu của các khách hàng đã có chỉ số đánh giá về sản phẩm Ij và dữ liệu của các sản phẩm đã được đánh giá bởi khách hàng Ui. Để hiểu hơn về thuật toán này, chúng ta xét ví dụ sau:
Trong đó: các Ui là các khách hàng, các Ij là các sản phẩm, giá trị ở ô ở hàng I, cột j (ký hiệu: Yij) là chỉ số đánh giá (độ hài lòng, sở thích,...) của khách hàng Ui với sản phẩm Ij. Nhiệm vụ của kỹ thuật lọc cộng tác là dự báo xem mức độ đánh giá của khách hàng U1 đối với sản phẩm I2 như thế nào để từ đó có đưa ra cho khách hàng U1 khuyến nghị mua sản phẩm I2 hay không? (dự báo xem Y12 > 3 hay ko?) Vấn đề này được giải quyết như sau:
- Xét mức độ đánh giá của khách hàng đối với sản phẩm I2, ta thấy chỉ có 3 khách hàng U2 ,U4 ,U5 đã đánh giá sản phẩm này. Vì vậy ta có:
Do đó Y12 = 4. Vậy hệ thống sẽ đưa ra khuyến nghị cho khách hàng U1 mua sản phẩm I2
3.3. Thuật toán phân cụm K-means trong công cụ khuyến nghị sản phẩm
K-Means là thuật toán được sử dụng phổ biến trong kỹ thuật phân cụm. Tư tưởng chính của thuật toán K-Means là tìm cách phân chia các đối tượng (objects) đã cho theo các thuộc tính của đối tượng thành K cụm (K là số cụm được xác định trước, K nguyên dương) [8].
Áp dụng cho nhiệm vụ lọc cộng tác trong công cụ khuyến nghị sản phẩm đã phát biểu ở trên, thuật toán K-Means sẽ phân chia khách hàng trong hệ thống theo các thuộc tính của khách hàng thành K cụm, sau đó dựa vào các chỉ số đánh giá đã có của các khách hàng trong một cụm để đưa ra khuyến nghị cho những khách hàng còn lại trong cùng cụm ấy.
Đầu vào:
Đầu ra:
Chi tiết thuật toán K-Means áp dụng cho nhiệm vụ lọc cộng tác trong công cụ khuyến nghị sản phẩm được mô tả qua các bước sau:
Sau khi phân K cụm khách hàng thành công, hệ thống sẽ đưa ra khuyến nghị sản phẩm cho khách hàng dựa vào các sản phẩm đã được đánh giá bởi các khách hàng trong cùng một cụm.
Để hiểu hơn về thuật toán này, chúng ta xét ví dụ về bài toán khuyến nghị sản phẩm với dữ liệu cho dưới đây:
Các bước thực hiện của thuật toán:
Ta thấy rằng cụm 1 sau vòng lặp thứ nhất gồm có 1 điểm U1 và cụm 2 gồm các điểm còn lại U2, U3, U4
Cụm 1 sau vòng lặp thứ hai gồm có 2 điểm U1, U2 và cụm 2 gồm 2 điểm U3, U4
Cụm 1 sau vòng lặp thứ ba gồm có 2 điểm U1, U2 và cụm 2 gồm 2 điểm U3, U4
Ta thấy kết quả của vòng lặp này không thay đổi gì so với kết quả vòng lặp trước. Thuật toán dừng lại và ta thu được kết quả phân cụm như sau:
Dựa vào bảng đánh giá sản phẩm của khách hàng:
Ta thực hiện khuyến nghị sản phẩm phù hợp dựa theo nhóm khách hàng là:
+ Sản phẩm I1: Khuyến nghị cho khách hàng U2, U4
+ Sản phẩm I2: Khuyến nghị cho khách hàng U3
3.4. Đánh giá hai mô hình đề xuất cho việc xây dựng công cụ khuyến nghị sản phẩm
3.4.1. Thuật toán Bayessian
- Ưu điểm: thuật toán Bayesian giải quyết tốt dữ liệu rời rạc và dữ liệu thưa
- Nhược điểm: Đối với dữ liệu có kích thước lớn, thuật toán bị giảm tốc độ và tăng chi phí xử lý dữ liệu; nếu muốn giảm chi phí xử lý dữ liệu thì cần giảm kích cỡ dữ liệu, tuy nhiên việc này làm cho kết quả tính toán có thể bị thay đổi.
3.4.2. Thuật toán K-means
- Ưu điểm: Thuật toán K-Means là thuật toán dễ dàng triển khai, có thể áp dụng với tập dữ liệu có kích thước lớn.
- Nhược điểm: kết quả phân cụm dữ liệu của thuật toán phụ thuộc nhiều vào các tham số đầu vào như: số cụm K, cách lựa chọn trọng tâm ban đầu.
4. Kết luận
Các hệ thống thương mại điện tử lớn: Amazon, Ebay, Cdnow, Netflix,.. đã được tích hợp công cụ khuyến nghị sản phẩm từ khá lâu và đạt được thành công đáng kể thể hiện qua kết quả kinh doanh. Cụ thể, công cụ khuyến nghị sản phẩm đã góp phần làm tăng doanh số bán hàng của Amazon 29% lên tới 12,83 tỷ USD trong quý tài chính thứ hai từ mức 9,9 tỷ USD trong cùng kỳ năm 2011 và doanh thu quý III năm 2013 tăng tới 24%, lên 17,1 tỷ USD [3][5]. Công ty thuê đĩa phim trực tuyến lớn nhất thế giới Netflix cũng là một ví dụ điển hình cho hoạt động kinh doanh hiệu quả nhờ tích hợp công cụ khuyến nghị sản phẩm vào website của mình. Vào năm 1999, Netflix đã xây dựng hệ thống khuyến nghị trực tuyến đầu tiên trên thế giới bằng cách lên danh sách các bộ phim mà họ dự đoán rằng khách hàng sẽ muốn xem. Chỉ trong vòng hai tháng, số lượng khách hàng thuê đĩa trung bình đã tăng lên 20-25%. Năm 2009 hệ thống đã cung cấp trên 100.000 đĩa DVD và đã vượt qua 10 triệu thuê bao. Hiện tại hệ thống cho thuê DVD cho doanh thu hơn 300 triệu USD vào quý 3 năm 2013 và giá trị của Netflix đạt gần 4 tỷ USD [4]. Như vậy công cụ khuyến nghị sản phẩm thực sự đóng vai trò rất quan trọng đối với các doanh nghiệp thương mại điện tử. Nếu như các website thương mại điện tử ở Việt Nam triển khai nghiên cứu tích hợp công cụ khuyến nghị sản phẩm càng sớm thì chắc chắn doanh thu và sức cạnh tranh của doanh nghiệp đó càng gia tăng.
Trong bài báo này, tác giả đã đề xuất hai mô hình sử dụng để xây dựng công cụ khuyến nghị sản phẩm cho các website thương mại điện tử. Mặc dù hai mô hình này vẫn tồn tại một số nhược điểm nhất định nhưng chúng là ý tưởng khá tốt cho các doanh nghiệp thương mại điện tử muốn xây dựng và triển khai công cụ khuyến nghị sản phẩm cho website của mình.
(Cnth theo Tạp chí thnh)